
Porfirias são doenças causadas por erros na produção da molécula heme. Esses erros levam a acúmulo de proteínas intermediárias e outros compostos, que desencadeiam sintomas que podem ser graves e debilitantes. Como são raras e complexas, muitas vezes os portadores passam por múltiplos médicos, às vezes por anos, até conseguir o diagnóstico.

Para ser justo, é um dos conjuntos de doenças mais complicados da Medicina, desde a compreensão de como ela acontece, como fazer o diagnóstico e como tratar. O objetivo desse texto é simplificar ao máximo, evitando entrar na bioquímica e na genética quando possível e focar. Se o leitor quiser se aprofundar mais, sugiro ler o texto mais completo em PORFIRIAS.
HISTÓRIA
A porfiria já é conhecida há muito tempo. Aparentemente Hipócrates (460 a.C.-377 a.C.) teve contato com portadores, mas não sabia muito do que se tratava. O nome “porfiria” (derivada do grego “púrpura”), foi dado por um estudante de medicina alemão, Schultz, que em 1874 observou a coloração púrpura na urina de alguns pacientes.

A primeira descrição oficial de um caso de porfiria aguda como uma síndrome foi feita pelo Dr. B.J. Stokvis no ano de 1889. Em 1930, o químico alemão Hans Fischer recebeu o prêmio Nobel de Química pelos seus estudos sobre os pigmentos no sangue, bile e da clorofila, incluindo a síntese de bilirrubina e heme. Em 1937, o médico sueco Jan Gösta Waldenström publicou seus achados sobre a porfiria aguda intermitente de modo tão completo que a doença tornou-se conhecida até pouco tempo como “porfiria sueca” ou “porfiria de Waldenström”. Apenas na década de 60 os exames para a detecção de intermediários da síntese do heme foram desenvolvidos, permitindo o diagnóstico adequado.

Pela aversão ao Sol e deformidades que surgem quando a doença não é diagnosticada e tratada em casos graves, a porfiria provavelmente contribuiu para o surgimento de mitos como os vampiros e lobisomens. Possivelmente vitimou diversas figuras históricas conhecidas, como o Rei George III da Inglaterra, o pintor Vincent van Gogh e o escultor mineiro Antonio Francisco Lisboa, o Aleijadinho.
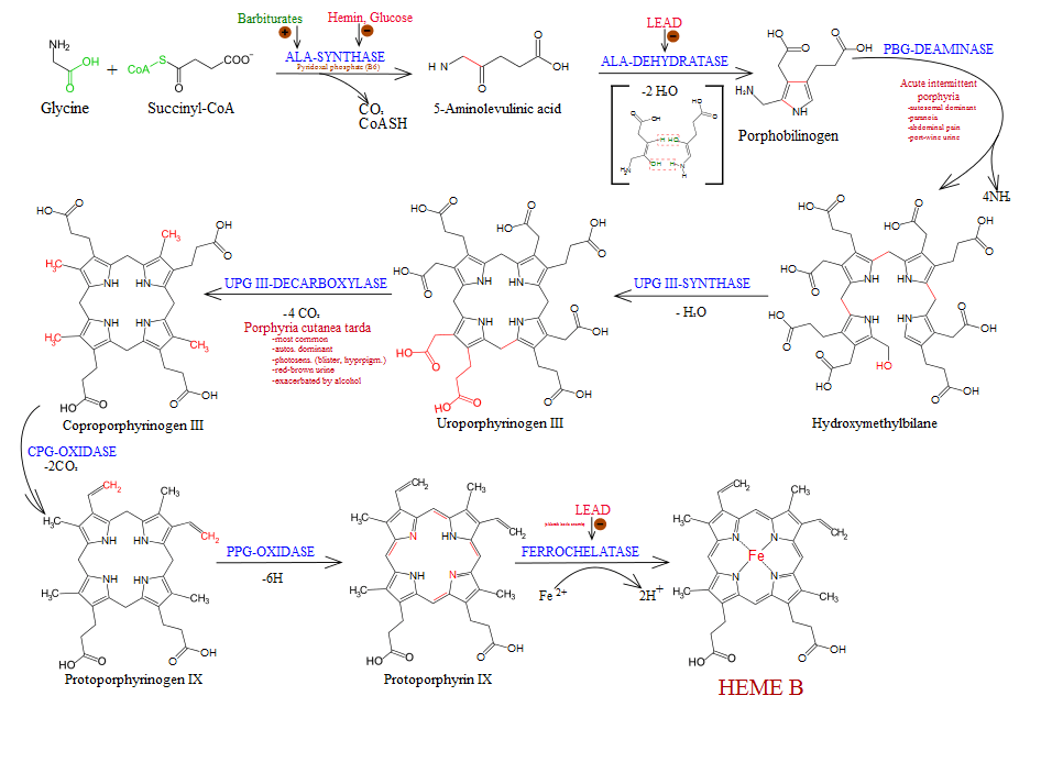
HEME
O heme é uma molécula utilizada na construção de proteínas de grande importância no organismo, especialmente a hemoglobina, que transporta oxigênio e gás carbônico para e dos pulmões, e proteínas do citocromo P450 no fígado, que entre outras funções protegem o organismo de toxinas e metaboliza medicamentos.

A síntese do heme depende de vários passos, cada um deles dependendo de uma enzima diferente. Cada enzima que não funciona direito (geralmente por uma mutação), diminui a produção de heme e acumula as moléculas dos passos anteriores, que levam aos sintomas.

SINTOMAS
O modo mais útil de classificar as porfirias é separá-las em relação aos sintomas (que também dependem da fase prejudicada na formação do heme e se os intermediários acumulados são ou não solúveis em água). Assim, temos três tipos diferentes de porfirias: as agudas neuroviscerais, as cutâneas bolhosas crônicas e as cutâneas agudas não bolhosas com fotossensibilidade. Curiosamente, as três porfirias mais comuns se encaixam perfeitamente em cada uma dessas categorias.

PORFIRIAS NEUROVISCERAIS (PORFIRIA AGUDA INTERMITENTE)
As porfirias neuroviscerais danificam o sistema nervoso, sendo que o seu principal sintoma é dor abdominal, que pode ser muito intensa, sem nenhuma alteração no exame físico, exames laboratoriais e de imagem feitos comumente na urgência. Os sistemas nervoso sensitivo, motor e autonômico também podem ser afetados, causando náuseas, vômitos, constipação, palpitações, hipertensão, fraqueza muscular, perda de sensibilidade, dor nas costas, membros e peito e alterações psiquiátricas. Essas podem incluir confusão mental, ansiedade, alucinações e agressividade, o que faz com que muitas vezes os pacientes não sejam levados a sério em serviços de emergência.

Essas porfirias levam a crises repetidas que podem ser até fatais. Uma vez feito o diagnóstico (com dosagem de porfobilinogênio na urina), os medicamentos que desencadeiam as crises tem que ser suspensos. Se a menstruação também desencadeia crises, ela pode ser bloqueada. E temos ainda a possibilidade de injetar heme direto na veia, que chega no fígado, e bloqueia o metabolismo do heme, interrompendo a crise ou impedindo uma a cada ciclo menstrual.
PORFIRIAS CUTÂNEAS BOLHOSAS CRÔNICAS (PORFIRIA CUTÂNEA TARDA)
As porfirias cutâneas bolhosas, das quais a porfiria cutânea tarda (PCT) é a mais comum (e a porfiria mais comum de todas entre adultos) causam lesões bolhosas em áreas expostas à radiação ultravioleta do Sol. Essas bolhas depois desaparecem deixando cicatrizes e alterações na coloração da pele. As lesões vão se juntando com o passar dos anos e, se não tratadas, podem causar deformidades importantes.
A PCT em si é causada por uma mutação que não leva sozinha à doença, precisa de outros fatores para desencadear sintomas. O excesso de ferro (hemocromatose), álcool, hepatite C e HIV são os fatores mais comuns. Tratando esses fatores e incluindo hidroxicloroquina em dose baixa geralmente é suficiente para tratar a PCT. Infelizmente, as outras porfirias dessa classe não funcionam do mesmo modo e não tem tratamento bem definido.
PORFIRIAS CUTÂNEAS AGUDAS NÃO BOLHOSAS (PROTOPORFIRIA ERITROPOIÉTICA)
As porfirias cutâneas agudas não bolhosas, das quais a protoporfiria eritropoiética (EPP) é a mais comum, se manifestam como uma sensibilidade muito maior à luz, desde a infância. Enquanto na PCT a luz ultravioleta causa a reação, na EPP a reação ocorre na faixa de luz azul. Isso significa que a reação pode ocorrer mesmo dentro de casa, protegido por janela, e até mesmo com certos tipos de luz artificial. Poucos minutos podem ser suficientes para criar queimaduras de segundo grau, intratáveis. Além da dor, lesões repetidas levam a cicatrizes difusas, liquenificação e alterações na pigmentação.
Como os danos são causados por luz no espectro visível, protetores solares que bloqueiam a luz ultravioleta não adiantam. Algumas pessoas melhoram com beta caroteno, mas a melhora é discreta. Os portadores tem que se esconder da luz mesmo, o que limita opções de trabalho e convívio social. Uma opção mais recente é um medicamento chamado afamelanotide, que estimula a produção de melanina na pele, deixando a pele mais escura e protegendo parcialmente da luz.
Ficou curioso ? Leia mais sobre as porfirias aqui.
BIBLIOGRAFIA
- Anderson, KE. Porphyrias: An Overview. UptoDate. Last Update Mar 11, 2022 (link)
- Wang B, Bonkovsky HL, Lim JK, Balwani M. AGA Clinical Practice Update on Diagnosis and Management of Acute Hepatic Porphyrias: Expert Review. Gastroenterology. 2023 Mar;164(3):484-491. doi: 10.1053/j.gastro.2022.11.034. Epub 2023 Jan 13. PMID: 36642627.
- Uriarte MDF, Gómez GBA, Mancinelli MC, et al. Porfirias: una revisión. Dermatología Cosmética, Médica y Quirúrgica. 2021;19(4):361-368.
- Bissell DM, Anderson KE, Bonkovsky HL. Porphyria. N Engl J Med. 2017 Nov 23;377(21):2101. doi: 10.1056/NEJMc1712682. PMID: 29166231.
- Stein, P.E., Badminton, M.N. and Rees, D.C. (2017), Update review of the acute porphyrias. Br J Haematol, 176: 527-538. https://doi.org/10.1111/bjh.14459
- Porphyria Cutanea Tarda (PCT): A Photosensitive Disorder… (link)
LINKS INTERESSANTES
- ABRAPO – Associação Brasileira de Porfiria
- Living with Porphyria
Texto criado em 17/04/23
Última atualização: 17/04/23









